Разработка политики информационной безопасности диплом
Разработка политики информационной безопасности диплом
Бесплатная консультация по вашей теме: Telegram: @Diplomit WhatsApp: +7 (987) 915-99-32 | Телефон: +7 (987) 915-99-32, Email: admin@diplom-it.ru| MAX: +7 (987) 915-99-32
Главная задача дипломной работы по политике безопасности, как правило, заключается в создании грамотной защиты, где компоненты гармонично сочетаются друг с другом, детальной проработке методологии и обеспечении контроля над ними. В структуру работы входит аналитическая часть, в которой рассматривается теоретические аспекты понятий информационная безопасность на предприятии. В практической части кратко описывается деятельность фирмы, текущее состояние ее систем безопасности и предлагаются мероприятия по усовершенствованию основ безопасности. Результатом работы является искоренение недочетов в политике безопасности, а также создание мероприятий, направленных на устранение потенциальных угроз и минимизацию возможного ущерба.

Если в качестве темы дипломной работы выбрана политика безопасности, то в данном проекте важно отразить все особенности защиты в сочетании с возможностями разработки определённых организационно-технических мероприятий и последующим контролем их чёткого исполнения. Специалисты, которые не понаслышке знают о том, как правильно писать и оформлять диплом на смежные темы, способны даже дать определённые рекомендации относительно создания подобных работ. В любом случае, останутся те сведения, которые будут общими для всех дипломов, без исключения.
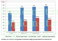
Содержание диплома по разработке особенной политики безопасности
В первую очередь, важно взять за основу конкретное предприятие, после чего провести подробный аудит всех информационных процессов, затем выявить среди них те, что требуют защиты.
Далее подробно анализируются все риски, и по итогам проведённого исследования можно говорить о возможности провести ранжирование рисков для того, чтобы определить, насколько оптимально расходуются ресурсы на конкретный момент времени.
Только после этого можно говорить о необходимости разработки непосредственно политики безопасности. В дипломной работе следует отразить все необходимые сведения, которые содержатся в таком документе.
В процессе разработки политики информационной безопасности в дипломе важно учесть возможность обеспечить информационную безопасность непосредственно в тех системах, что работают автоматически. Они представляют собой своеобразный симбиоз рабочих компонентов, каждый из которых играет свою роль. В качестве дополнения важно определить тот алгоритм защиты, что может быть использован для отдельных компонентов сети, а также гарантировать возможность применения носителей сменного типа, используемых для хранения данных и внесения определённых изменений в применяемое программное обеспечение.
В ВКР, где подробно рассматривается возможность разработки политики безопасности предприятия, важно провести подробный анализ, а также разработать конкретные модели, разработанные математически, из тех, что касаются непосредственно вероятных атак, которым может быть теоретически подвержена система. Кроме того, важно упомянуть и о том, что разработка конкретных мер никак не влияет, более того, дополнительно стоит предусмотреть те меры, которые позволят ликвидировать вредоносные воздействия, а значит, свести к минимуму потенциальный ущерб.






























